Visualizing the Quadratic Formula
What would you do if you were asked to solve for x? x2 + 8x + 5 = 11
You would probably set the quadratic equal to zero and try to factor, right?
Can you factor this quadratic trinomial? x2 + 8x – 6 = 0 Sadly, no.

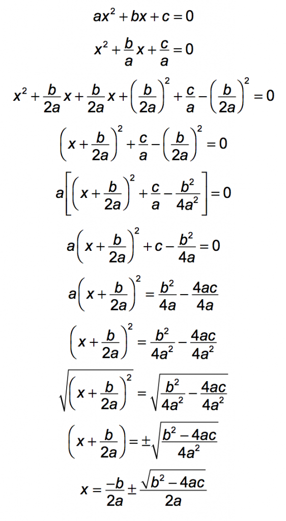
There’s another technique for solving quadratic equations, called Completing the Square. If you can create a perfect square trinomial, you can replace it with the square of the binomial and take the square root. That’s the plan; let’s see how it’s done.
We have x2 + 8x + 5 = 11. Ignore the constants for now, we can deal with those later.
To make a square, we have to break the 8x evenly in 2 parts. When we do that, we see that the factors must be (x + 4)(x + 4).
What do we need as a constant? The missing corner is 4 x 4, so we need 16.
Let’s look at it with algebra.
If we can generalize this technique to any quadratic equation, we can create a formula to use to solve for x, every time.
Hot dog!

After lots of algebra…




